[ IGModel-SW 正二十面体格子全球浅水モデルを用いた Williamson et al. (1992) の標準実験結果]

テストケース 3: 水平解像度向上に伴う数値誤差の収束性に関する考察

計算設定

詳細は NAMELIST ファイル(glevel 4), NAMELIST ファイル(glevel 5), NAMELIST ファイル(glevel 6), NAMELIST ファイル(glevel 7)を参照のこと.

計算結果

 
 


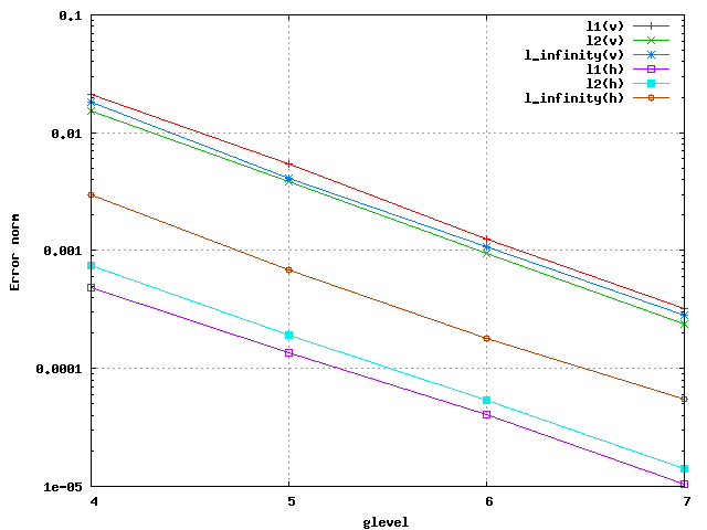
SPR-GC-grid を用いた場合の数値誤差の収束特性



error_norm_convergence.png
平均的には, 解像度を上げても 2 次精度を保持している.

 

This page is generated by TestCase3_src/dcmodel-thum-make.rb and TestCase3_src/index_case3_comparison_resolution.txt (2011/07/08 03:05:31 ykawai)
dcmodel-thum.rb [Script | Doc | Sample] is provided by dcmodel project in GFD Dennou Club
Copyright © GFD Dennou Club 2011