Fluid Dynamics in Earth and Planetary Sciences (FDEPS) Second FDEPS Workshop Dec 4 - 8, 1999 Graduate School of Mathematical Sciences, University of Tokyo
,
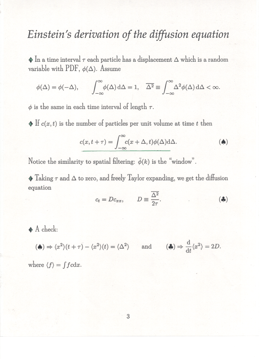
X は元の位置からの相対位置(?)
(1 sec order)は粒子の衝突時間(10ms order)より
はるかにながい
時間間隔おくと, それぞれの粒子が
の距離の間隔
動く確率
: Probability Density Function (PDF)
: displacemant
は以下の性質をもつ.
,
,
.
テイラー展開すると
,
where
-> 分布が広がって行く
,
: Lagrangian velocity autocorrelation function
when 
を主張してはいない.
が必ずしも t に比例して広がる結果には
なっていない.
を用いてトレーサー計算をすると,
実験の結果が非常によく再現される.
は t に比例して増加
,
.