Klemp and Wilhelmson (1978) および CReSS で用いられている 1.5 次のクロー
ジャーを用いる. このとき乱流運動エネルギーの時間発展方程式は,
![]() |
(B.2) | ||
![]() |
(B.3) | ||
![]() |
(B.4) |
Klemp and Wilhelmson (1978) では(B.1)について, 「Deardroff
(1975), Mellor and Yamada (1974), Schemm and Lipps (1976) で用いられ
ている式と類似のものである」とだけ記述され, その導出の詳細については解
説されていない. それゆえ大気大循環モデルでよく用いられている Mellor
and Yamada (1974, 1982) のパラメタリゼーションとの対応が不明瞭であ
る. そこで以下では Mellor and Yamada (1973, 1974) の定式化の手順に沿っ
て式(B.1), (B.5), (
) の導出を行う.
考えているサブグリッドスケール内において, 密度は一定, 動粘性係数や拡散
係数などの物理定数は一定とする. 出発点となる方程式は, Mellor and
Yamada (1973) の式 (7) および (8)

(B.9)および(B.10)に現れる圧力に関する相関項 および 3 次の相関量については以下の仮定をおく.
(圧力による運動エネルギーの再分配)
1. の導出と同様の考察によって,
(粘性による散逸)
粘性に関与するような小スケールの現象は等方的とみて
のみ
で表現する.
速度変動による
と考え次のようにおく.

| (B.12) |
式(B.13), (B.14), (B.15)に対し, さらに以下の近似を加える.
とし,
を
で表し動粘性係数を乱流拡散係数で置き換えると
以上より, Klemp and Wilhelmson (1978) の乱流パラメタリゼーションは, Mellor and Yamada (1974) の Level 3 モデルと Level 1 モデルとを組みあ わせたものと理解することができる. Klemp and Wilhelmson (1978) と同様に 乱流運動エネルギーのみ予報し他の相関量は診断的に求めるモデルとして Mellor and Yamada (1974) の Level 2.5 モデルがある. しかし Level 2.5 モデルは Level 3 モデルと Level 2 モデルとの組合せであることに注意が必 要である.
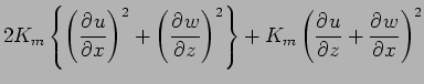
2 次元の場合の(B.1)式の各項を書き下す. 浮力による乱流エネル
ギー生成項は,
(B.25) 式を (B.7) 式を用いて
に関する式に変形
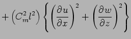
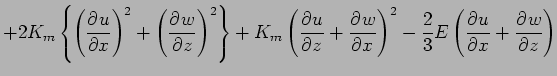
する. 右辺の乱流エネルギー拡散項を書き下すと,
![]() |
![]() |
||
![]() |
|||
![]() |
|||
![]() |
![]() |
![]() |
||
![]() |
|||
![]() |
|||
![]() |
(B.26) |
![]() |
|||
![]() |
|||
![]() |
|||
![]() |
|||
![]() |