: 変形オイラー平均方程式系
: プリミティブ方程式系と変形オイラー平均の復習
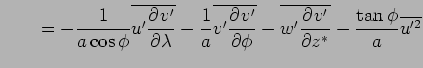
: 球面上の対数圧力座標系におけるプリミティブ方程式
  目次
ある物理量
について,
を固定して
東西方向にとった平均
 |
|
|
(A.2) |
をオイラー平均と呼ぶ.
オイラー平均からのずれを
とすると
 |
|
|
(A.3) |
である.
定義により,
,
となる.
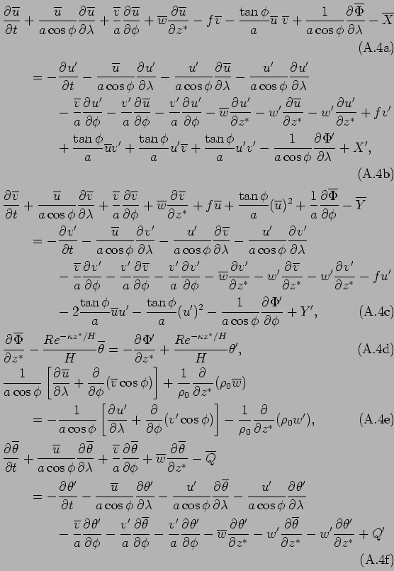
(
) 中の各量をオイラー平均とそこからのずれに分けて書くと
となる.
上記を変形して, 左辺に平均量と平均量同士の積の項を,
右辺にそれ以外の項をまとめると
と書ける.
(
) をオイラー平均すると,
となる.
ここで (
), (
)
から東西平均からのずれに関する連続の式
![$\displaystyle \Dinv{a\cos\phi}\left[\DP{u'}{\lambda}
+ \DP{}{\phi}(v'\cos\phi)\right]
+ \Dinv{\rho_0}\DP{}{z^*}(\rho_0 w')
= 0$](img85.png) |
|
|
(A.7) |
が得られる.
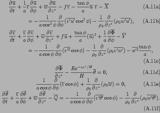
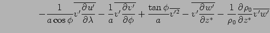
(
) を使って
(
) を変形する.
(
) に
をかけて
オイラー平均をとると
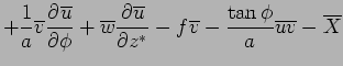
 |
|
|
(A.8) |
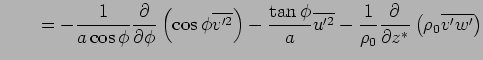
これを (
) に加えると
ここで
を用いると,
と書くことができる.
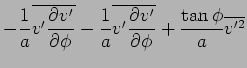
(
) に関しても同様に,
(
) に
をかけて
オイラー平均をとった式
 |
|
|
(A.9) |
を (
) に加えると
が得られる.
ここで
を用いると
と書くことができる.
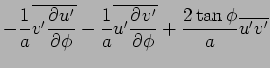
(
) についても同様に,
(
) に
をかけて
オイラー平均をとった式
 |
|
|
(A.11) |
を (
) に加えると
が得られる.
ここで
を用いると
となる.
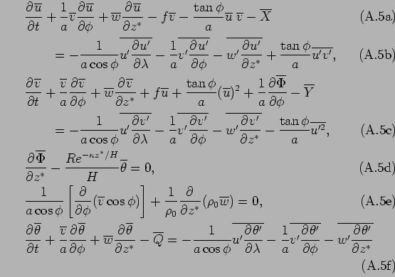
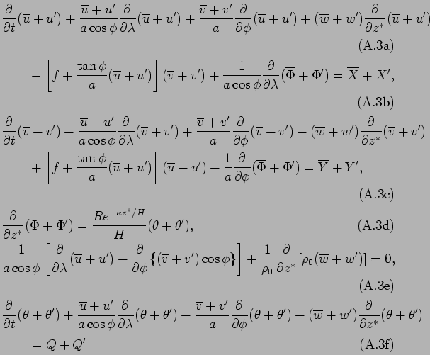
以上をまとめると, 以下のオイラー平均方程式が得られる.
: 変形オイラー平均方程式系
: プリミティブ方程式系と変形オイラー平均の復習
: 球面上の対数圧力座標系におけるプリミティブ方程式
  目次
Tsukahara Daisuke
平成17年2月19日