next up previous
Next: About this document ... Up: basic_equations Previous: 2 座標系・変換公式

3 モデル全体での時間積分の概要

本モデルでは, 移流過程 (力学過程), 放射過程, サブグリッドスケールの乱流混合過程を 考慮して, 大気中の変数と惑星表面, 土壌中の変数を計算する. 本節では, それら様々な過程を用いた時間積分全体の概要を示す.

大気中の変数を $ \phi_a$, 惑星表面および土壌中の変数を $ \phi_s$ とすると, モデルの支配方程式系は記号的に下のように書くことができる.

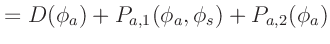
$\displaystyle \DP{\phi_a}{t}$ $\displaystyle = D(\phi_a) + P_{a,1}(\phi_a, \phi_s) + P_{a,2}(\phi_a)$ (1)
$\displaystyle \DP{\phi_s}{t}$ $\displaystyle = P_{s,1}(\phi_a, \phi_s) + P_{s,2}(\phi_a)$ (2)

ここで, $ D$ は移流過程 (力学過程), による時間変化率である. また, $ P_{a,1}$, $ P_{s,1}$ はそれぞれ物理過程 1 (放射過程, 鉛直乱流過程) による 大気中の変数と惑星表面および土壌中の変数の時間変化率であり, $ P_{a,2}$, $ P_{s,2}$ はそれぞれ物理過程 2 (積雲対流過程, 非対流性凝結過程, 乾燥対流調節) による大気中の変数と惑星表面および土壌中の変数の時間変化率である. $ P_{a,1}$, $ P_{s,1}$, $ P_{a,2}$, $ P_{s,2}$ は下のように表現できる.

$\displaystyle P_{a,1}(\phi_a, \phi_s)$ $\displaystyle = P_{a,1,rad}(\phi_a, \phi_s) + P_{a,1,vdiff}(\phi_a, \phi_s)$ (3)
$\displaystyle P_{s,1}(\phi_a, \phi_s)$ $\displaystyle = P_{s,1,rad}(\phi_a, \phi_s) + P_{s,1,vdiff}(\phi_a, \phi_s)$ (4)
$\displaystyle P_{a,2}(\phi_a)$ $\displaystyle = P_{a,2,cum}(\phi_a) + P_{a,2,lsc}(\phi_a) + P_{a,2,dca}(\phi_a)$ (5)
$\displaystyle P_{s,2}(\phi_a)$ $\displaystyle = P_{s,2,cum}(\phi_a) + P_{s,2,lsc}(\phi_a)$ (6)

ここで, $ P_{a/s,1,rad}$, $ P_{a/s,1,vdiff}$, $ P_{a/s,2,cum}$, $ P_{a/s,2,lsc}$, $ P_{a/s,2,dca}$ は, それぞれ放射過程, 鉛直乱流過程, 積雲対流過程, 非対流性凝結過程, 乾燥対流調節過程 による大気中の変数または惑星表面および土壌中の変数の時間変化率である. 物理過程を 1, 2 のふたつに分けているのは, 物理過程 2 が「調節型」の物理過程である ためであり, 下に示すように, 二段階に分けて積分する.

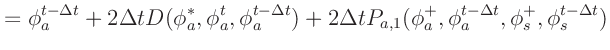
これらの方程式は, まず移流過程 (力学過程) と物理過程 1 に関して時間積分し, 続いて物理過程 2 について時間積分する. まず, 移流過程 (力学過程) と物理過程 1 に関する時間積分は下のように表される.

$\displaystyle \phi_a^*$ $\displaystyle = \phi_a^{t-\Delta t} + 2 \Delta t D(\phi_a^*, \phi_a^t, \phi_a^{...
... \Delta t P_{a,1}(\phi_a^+, \phi_a^{t-\Delta t}, \phi_s^+, \phi_s^{t-\Delta t})$ (7)
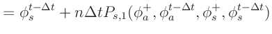
$\displaystyle \phi_s^*$ $\displaystyle = \phi_s^{t-\Delta t} + n \Delta t P_{s,1}(\phi_a^+, \phi_a^{t-\Delta t}, \phi_s^+, \phi_s^{t-\Delta t})$ (8)

ここで, $ n$ は, $ \phi_s$ が惑星表面温度, 土壌温度の場合には $ 1$ であり, 土壌水分, 積雪量の場合には $ 2$ である [*]. また, ここで用いる $ P_{a/s,1}(\phi^+, \phi^{t-\Delta t}, \phi_s^+, \phi_s^{t-\Delta t})$ は, 現象の時間スケールが短いため, 下のような連立方程式を陰解法を用いて解くことで 評価する.

$\displaystyle \phi_a^+$ $\displaystyle = \phi_a^{t-\Delta t} + 2 \Delta t P_{a,1,rad} (\phi_a^+, \phi_a^...
...i_a^+, \phi_a^{t-\Delta t}, \phi_s^+, \phi_s^{t-\Delta t}) \Deqlab{phys1tend_a}$ (9)
$\displaystyle \phi_s^+$ $\displaystyle = \phi_s^{t-\Delta t} + 2 \Delta t P_{s,1,rad} (\phi_a^+, \phi_a^...
...i_a^+, \phi_a^{t-\Delta t}, \phi_a^+, \phi_a^{t-\Delta t}) \Deqlab{phys1tend_s}$ (10)

続いて, $ \phi^*$ は「調節型」の物理過程を順次適応することで, 下のように更新する.

$\displaystyle \phi_a^{**}$ $\displaystyle = \phi_a^{*} + 2 \Delta t P_{a,2,cum}(\phi_a^{**} , \phi_a^{*})$ (11)
$\displaystyle \phi_a^{***}$ $\displaystyle = \phi_a^{**} + 2 \Delta t P_{a,2,lsc}(\phi_a^{***}, \phi_a^{**})$ (12)
$\displaystyle \phi_a^{t+\Delta t}$ $\displaystyle = \phi_a^{***} + 2 \Delta t P_{a,2,dca}(\phi_a^{t+\Delta t}, \phi_a^{***})$ (13)
$\displaystyle \phi_s^{**}$ $\displaystyle = \phi_s^{*} + 2 \Delta t P_{a,2,cum}(\phi_a^{**} , \phi_a^{*})$ (14)
$\displaystyle \phi_s^{t+\Delta t}$ $\displaystyle = \phi_s^{**} + 2 \Delta t P_{a,2,lsc}(\phi_a^{t+\Delta t}, \phi_a^{**})$ (15)

なお, 惑星表面温度と土壌温度については物理過程 2 で値が変化しないため, 上記の積分は行わずに $ \phi^{t} = \phi^*$ となる.

移流過程 (力学過程), 放射過程, 積雲対流, 非対流性凝結, 鉛直乱流混合については, それぞれ第 4, 6, 7, 8, 9 章で述べる. 惑星表面および土壌中の過程については第 10, 11 章で述べる. また, phys1tend_a, phys1tend_s で示した, 物理過程 1 による 時間変化率を求める際の陰解法については熱収支を統合した連立方程式の構成で述べる.

dynamics/dyn

auxvars/auxvars

radiation/radiation

cumulus/cumulus

lscond/lscond

vdiff/vdiff

surface/energybudget

surface/bucket

physics/physics

constants/constants

CREDITS



Footnotes

... である[*]
このように時間積分法が異なるのは, 惑星表面温度 (と土壌温度) の積分法として, AGCM5 の方法を踏襲しているためである. いずれ再考する必要があるだろう. (YOT, 2011/09/06)

next up previous
Next: About this document ... Up: basic_equations Previous: 2 座標系・変換公式
TAKEHIRO Shin-ichi
2014-07-03